EDUCON Jedocestný usměrňovač

 

Silový obvod

Jednocestný RL

Průběhy

Jednocestný RL
 

Parametry
obvodu

Um = 50V
R = 1Ω
L = 10mH
α = 60°
f = 50Hz

Řízený jednocestný usměrňovač s nulovou diodou se liší od neřízeného pouze v řídícím úhlu.

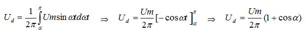
Rovnice